Chất chuẩn Citalopram CAS 59729-33-8

Để đảm bảo kết quả chính xác trong các quy trình kiểm nghiệm, việc sử dụng chất chuẩn Citalopram (CAS 59729-33-8)tạp chuẩn Citalopram có độ tinh khiết cao là yếu tố thiết yếu. Citalopram là một loại thuốc ức chế tái hấp thu serotonin có chọn lọc (SSRI) được sử dụng để điều trị trầm cảm. Nó được phát hiện vào năm 1977 và bắt đầu được sử dụng trong y tế vào năm 1998.

Chúng tôi cung cấp các giải pháp chất chuẩn dược phẩm, trong đó có:

  • Chất chuẩn Citalopram.
  • Các tạp chuẩn Citalopram theo dược điển và không theo dược điển.
  • Các đồng vị ổn định của Citalopram.

Lợi ích sản phẩm của chúng tôi:

  • Đảm bảo độ tinh khiết và chính xác cao nhất cho quy trình kiểm nghiệm và sản xuất của bạn.
  • Hỗ trợ tuân thủ các tiêu chuẩn dược điển quốc tế.
Liên hệ để được tư vấn | Contact now!

    Form liên hệ






    Gửi

    Tạp chuẩn phổ biến

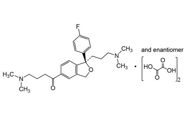
    CAS: 64372-56-1
    Citalopram Hydrobromide - Impurity A (Freebase)
    Nhận báo giá
    Contact for Quotes
    CAS: NA
    Citalopram Hydrobromide - Impurity A (Hydrochloride salt)
    Nhận báo giá
    Contact for Quotes
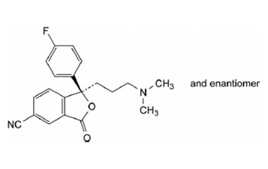
    CAS: 411221-53-9
    Citalopram Hydrobromide - Impurity B (Freebase)
    Nhận báo giá
    Contact for Quotes
    CAS: 1332724-03-4
    Citalopram Hydrobromide - Impurity B (Oxalate Salt)
    Nhận báo giá
    Contact for Quotes
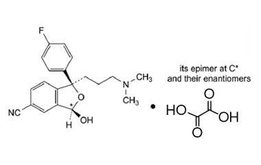
    CAS: 372941-54-3
    Citalopram Hydrobromide - Impurity C
    Nhận báo giá
    Contact for Quotes
    CAS: 1440961-11-4
    Citalopram Related Compound C
    Citalopram Hydrobromide - Impurity C (Oxalate Salt)
    Nhận báo giá
    Contact for Quotes
    CAS: 62498-67-3
    Citalopram Hydrobromide - Impurity D (Freebase)
    Nhận báo giá
    Contact for Quotes
    CAS: 1188264-72-3
    Citalopram Hydrobromide - Impurity D (Hydrobromide Salt)
    Nhận báo giá
    Contact for Quotes
    CAS: 97743-99-2
    Citalopram Hydrobromide - Impurity D (Hydrochloride Salt)
    Nhận báo giá
    Contact for Quotes
    CAS: 62498-68-4
    Citalopram Hydrobromide - Impurity D (Oxalate Salt)
    Nhận báo giá
    Contact for Quotes
    CAS: 64169-45-5
    Citalopram Hydrobromide - Impurity E (Freebase)
    Nhận báo giá
    Contact for Quotes
    CAS: 1332724-08-9
    Citalopram Hydrobromide - Impurity E (Hydrobromide Salt)
    Nhận báo giá
    Contact for Quotes
    CAS: 1329612-81-8
    Citalopram Hydrobromide - Impurity E (Oxalate)
    Nhận báo giá
    Contact for Quotes
    CAS: 64169-39-7
    Citalopram Hydrobromide - Impurity F (Freebase)
    Nhận báo giá
    Contact for Quotes
    CAS: 479065-02-6
    Citalopram Related Compound H
    Citalopram Hydrobromide - Impurity F (Hydrobromide Salt)
    Nhận báo giá
    Contact for Quotes
    CAS: 64372-43-6
    Citalopram Hydrobromide - Impurity F (Oxalate )
    Nhận báo giá
    Contact for Quotes
    CAS: NA
    Citalopram Hydrobromide - Impurity G
    Nhận báo giá
    Contact for Quotes
    CAS: NA
    Citalopram Hydrobromide - Impurity G (Di Oxalate Salt)
    Nhận báo giá
    Contact for Quotes
    CAS: 2575516-42-4
    Citalopram Hydrobromide - Impurity G (Dihydrobromide salt)
    Nhận báo giá
    Contact for Quotes
    CAS: 1329745-98-3
    Citalopram Hydrobromide - Impurity G (Freebase)
    Nhận báo giá
    Contact for Quotes

    Chi tiết sản phẩm

    Chất Chuẩn Citalopram (CAS 59729-33-8) và Tạp Chuẩn: Yếu Tố Then Chốt trong Kiểm Nghiệm Dược Phẩm

    Citalopram, một loại thuốc ức chế tái hấp thu serotonin có chọn lọc (SSRI), ngày càng khẳng định vai trò không thể thiếu của mình trong lĩnh vực y tế. Nó được sử dụng để điều trị trầm cảm. Citalopram được phát hiện vào năm 1977 và bắt đầu được sử dụng trong y tế vào năm 1998. Để đảm bảo hiệu quả điều trị và độ an toàn tuyệt đối của thuốc, việc kiểm soát chất lượng nghiêm ngặt thông qua các chất chuẩn Citalopram (CAS 59729-33-8)tạp chuẩn Citalopram là cực kỳ thiết yếu. Bài viết này sẽ đi sâu vào tầm quan trọng của Chất chuẩn, tạp chuẩn của Citalopram và giới thiệu giải pháp cung cấp chất chuẩn, tạp chuẩn uy tín, đáp ứng mọi tiêu chuẩn khắt khe nhất của ngành dược.

    Thông tin chi tiết về Chất chuẩn Citalopram

    • Tên hóa học: Citalopram
    • Số CAS: 59729-33-8
    • Công thức phân tử: C20H21FN2O
    • Khối lượng phân tử: 324.39
    • Đồng nghĩa: Nitalapram, Cipram
    • Dạng: Chất rắn màu trắng đến trắng ngà
    • Điều kiện bảo quản: 2-8°C (tủ lạnh)

    Tầm Quan Trọng Vượt Trội của Chất Chuẩn và Tạp Chuẩn Citalopram

    Trong lĩnh vực sản xuất và kiểm nghiệm dược phẩm, việc kiểm soát chất lượng là yếu tố then chốt để đảm bảo an toàn, hiệu quả và tính tuân thủ pháp lý của sản phẩm. Đối với Citalopram, việc sử dụng các chất chuẩn dược phẩmtạp chuẩn Citalopram đóng vai trò cực kỳ quan trọng trong nhiều khía cạnh:

    • Phân tích Định tính và Định lượng: Chất chuẩn Citalopram (CAS 59729-33-8) giúp xác định chính xác hàm lượng Citalopram trong sản phẩm cuối cùng, đảm bảo liều lượng đúng và hiệu quả điều trị.
    • Kiểm soát Độ tinh khiết: Các tạp chuẩn Citalopram giúp đánh giá sự hiện diện và hàm lượng của các tạp chất có thể phát sinh trong quá trình tổng hợp hoặc bảo quản. Việc kiểm soát tạp chất là bắt buộc để ngăn chặn các chất không mong muốn gây ảnh hưởng đến chất lượng và an toàn của thuốc.
    • Nghiên cứu và Phát triển (R&D): Chất chuẩn và tạp chuẩn hỗ trợ quá trình tổng hợp hoạt chất, tối ưu hóa công thức, và kiểm tra độ ổn định của Citalopram trong các điều kiện khác nhau.
    • Đảm bảo Tuân thủ Dược điển Quốc tế: Việc sử dụng chất chuẩn và tạp chuẩn theo dược điển là yêu cầu bắt buộc để các nhà sản xuất dược phẩm tuân thủ các quy định nghiêm ngặt của ngành, từ đó đảm bảo sản phẩm được phép lưu hành trên thị trường toàn cầu.

    Nguồn Cung Cấp Chất Chuẩn và Tạp Chuẩn Citalopram Đáng Tin Cậy

    Chúng tôi tự hào là nhà cung cấp uy tín các chất chuẩn Citalopram (CAS 59729-33-8)tạp chuẩn Citalopram chất lượng cao, đáp ứng đầy đủ các yêu cầu khắt khe của ngành dược phẩm. Danh mục sản phẩm của chúng tôi bao gồm các tiêu chuẩn tham chiếu của Citalopram, và các tạp chất dược điển và không dược điển, cũng như các đồng vị ổn định. Cụ thể:

    • Chất chuẩn Citalopram
    • Các tạp chất theo dược điển của Citalopram: Bao gồm các tạp chất được liệt kê và kiểm soát theo các dược điển quốc tế.
    • Các tạp chất không theo dược điển của Citalopram: Các tạp chất khác có thể phát sinh nhưng chưa được liệt kê chính thức trong dược điển, vẫn cần được kiểm soát để đảm bảo độ an toàn sản phẩm.
    • Đồng vị ổn định của Citalopram: Các phiên bản đồng vị của Citalopram được sử dụng trong các nghiên cứu chuyên sâu, phân tích khối phổ và thử nghiệm sinh khả dụng.

    Lợi ích khi lựa chọn sản phẩm của chúng tôi:

    • Chất lượng đảm bảo: Tất cả các chất chuẩntạp chuẩn đều được kiểm định nghiêm ngặt, đảm bảo độ tinh khiết và độ chính xác cao nhất, đi kèm với chứng nhận phân tích (CoA) đầy đủ.
    • Đa dạng sản phẩm: Đáp ứng mọi nhu cầu từ nghiên cứu, phát triển đến sản xuất và kiểm soát chất lượng trong phòng thí nghiệm dược phẩm.
    • Tuân thủ tiêu chuẩn quốc tế: Sản phẩm của chúng tôi đáp ứng và vượt qua các tiêu chuẩn quốc tế, giúp khách hàng dễ dàng tuân thủ các quy định.
    • Giao hàng nhanh chóng: Với lượng hàng lưu kho sẵn có, chúng tôi cam kết giao hàng nhanh chóng, giúp quy trình sản xuất và kiểm nghiệm của bạn không bị gián đoạn.
    • Hỗ trợ kỹ thuật chuyên sâu: Đội ngũ chuyên gia giàu kinh nghiệm của chúng tôi luôn sẵn sàng tư vấn và hỗ trợ kỹ thuật tận tình, đảm bảo khách hàng sử dụng sản phẩm hiệu quả nhất.
    • Bảo quản và vận chuyển tối ưu: Sản phẩm được bảo quản trong điều kiện lý tưởng (2-8°C) và vận chuyển theo điều kiện tiêu chuẩn để duy trì chất lượng tốt nhất từ kho đến tay khách hàng.

    Liên Hệ Ngay Để Nâng Tầm Chất Lượng Dược Phẩm Của Bạn

    Việc đầu tư vào chất chuẩn Citalopram (CAS 59729-33-8)tạp chuẩn Citalopram chất lượng cao không chỉ là yêu cầu bắt buộc mà còn là yếu tố then chốt giúp bạn đảm bảo độ an toàn và hiệu quả của sản phẩm dược phẩm. Hãy để chúng tôi trở thành đối tác tin cậy của bạn trong hành trình kiểm soát chất lượng.

    Liên hệ ngay với chúng tôi để nhận báo giá và tư vấn chi tiết về các sản phẩm chất chuẩn, tạp chuẩn Citalopram – giải pháp đáng tin cậy cho mọi phòng thí nghiệm và doanh nghiệp dược phẩm.